Motor Torque Equation and Calculation
Motor torque is a key parameter used to evaluate a motor's drive capability. It reflects the motor's ability to overcome the load and deliver mechanical power during rotation. Whether in motor selection, drive system design, or control parameter tuning, torque calculation is a fundamental issue that cannot be overlooked. Fundamentally, motor torque originates from electromagnetic interaction—specifically, the electromagnetic torque generated by the interaction between the stator magnetic field and the effective rotor current. It is important to note that torque is not simply proportional to the square of the supply voltage. Voltage affects torque indirectly by influencing the magnetic flux and current magnitude. The exact relationship depends strongly on the motor type, operating conditions, and control strategy. In the following sections, we provide a systematic review of common motor torque calculation methods from an engineering perspective.
1. Physical Definition and Calculation Formula of Motor Torque
1.1 Physical Definition of Motor Torque
Torque describes the rotational effect produced by a force acting on a shaft and represents the direct mechanical output of a motor. From an electromagnetic perspective, motor torque originates from the Lorentz force acting on current-carrying conductors within a magnetic field. From a mechanical standpoint, torque is determined by both the magnitude of the applied force and the perpendicular distance from the axis of rotation (moment arm). In the International System of Units (SI), torque is measured in newton-meters (N•m). One newton-meter is defined as the torque produced by a force of 1 N acting at a perpendicular distance of 1 m from the axis of rotation.
1.2 Motor Torque Calculation Formula
In classical mechanics, torque T is defined as the cross product of the position vector r and the force F : T = r × F . Its magnitude is given by: T = r F sinθ, where θ is the angle between r and F . In motor engineering, we are typically concerned only with the torque component along the axis of rotation. When the force is perpendicular to the lever arm (θ = 90°), the equation simplifies to the commonly used scalar form: T = rF .
1.3 Power-Speed-Torque Relationship
The relationship between power P , torque T , and angular velocity ω is a fundamental equation in rotational dynamics and motor engineering P = T • ω , where: P = mechanical power (W), T = torque (N•m), ω = angular velocity (rad/s). The relationship between angular velocity ω and rotational speed n (in r/min) is: ω = 2πn / 60 , substituting into the power equation gives the commonly used engineering form: p = 2πnT / 60 , or equivalently:T = 60P / 2πn . This equation is widely used in motor selection and load-matching calculations.
2. Torque Characteristics of Different Motor Types
Different motor types exhibit distinct torque formation mechanisms and calculation models due to differences in excitation methods, magnetic field structures, and control strategies. For clarity, the following sections introduce the torque characteristics of DC motors, induction motors, permanent magnet synchronous motors (PMSMs), and stepper motors, progressing from relatively simple structures and intuitive models to more complex control-oriented systems.
2.1 Torque Calculation Formula of DC Motors
DC motors feature a simple structure and inherently straightforward torque control. Their torque model provides a fundamental reference for understanding electromagnetic torque generation in electric machines. Under the condition of constant magnetic flux, the electromagnetic torque of a DC motor is determined solely by the armature current. Therefore, the torque–current relationship is linear. The electromagnetic torque equation is:
Where: KT = torque constant (N•m/A), determined by motor construction and excitation flux, Ia= armature current (A). In the International System of Units (SI), the torque constant KT is numerically equal to the back EMF constant KE : KT = KE . This linear torque model serves as an important theoretical reference for torque analysis in AC machines.
2.2 Torque Formula of Induction Motors
Unlike DC motors, torque generation in induction motors depends on rotor current induced by slip. As a result, their torque characteristics are no longer linear but strongly dependent on speed, slip, and machine parameters. The torque–speed characteristic curve of an induction motor is distinctly nonlinear and includes several key operating points of engineering significance.
(1) Rated Torque
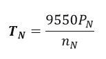
Under rated operating conditions, rated torque can be calculated from rated power and rated speed:
Where: TN = rated torque (N•m), PN = rated power (kW), nN = rated speed (r/min).
(2) Starting Torque (Locked-Rotor Torque)
When the rotor is stationary, the motor operates under locked-rotor conditions. If stator frequency and parameters remain constant, the starting torque is approximately proportional to the square of the stator voltage: Tst ∝ U12 . This relationship provides the theoretical foundation for various reduced-voltage starting methods, including star–delta starting and autotransformer starting.
(3) Maximum Torque (Breakdown Torque)
As speed varies, the induction motor reaches its maximum torque at a specific slip value. This torque is commonly referred to as: breakdown torque, pull-out torque. Under the assumption that stator resistance is negligible, the maximum torque is independent of rotor resistance. Its magnitude is primarily determined by supply voltage and total leakage reactance.
2.3 Torque Formula of Permanent Magnet Synchronous Motors
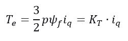
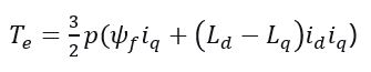
To overcome the limited torque controllability of induction motors, permanent magnet synchronous motors use rotor-mounted permanent magnets to establish a stable magnetic field. When combined with field-oriented control, this enables precise torque regulation. Under field-oriented control, the electromagnetic torque of a PMSM can be expressed as:
The first term represents the permanent magnet torque. The second term represents the reluctance torque. For surface-mounted PMSMs (where Ld = Lq ), the reluctance torque term becomes zero. The torque equation then simplifies to:
Where: Te = electromagnetic torque (N•m), p = number of pole pairs, ψf = permanent magnet flux linkage (Wb), id , iq = d-axis and q-axis stator currents (A), Ld , Lq = d-axis and q-axis inductances (H), KT = torque constant (N•m/A) .
2.4 Stepper Motor Holding Torque
Holding torque refers to the maximum external torque that a stepper motor can withstand while energized and stationary. It represents the motor’s static load capacity and is typically specified by the manufacturer under rated conditions. It is important to distinguish holding torque from dynamic torque. During actual operation—especially at higher speeds or under microstepping control—the available output torque decreases significantly compared to the rated holding torque.
3. System Torque Demand Analysis
In practical engineering applications, motor selection is often limited by acceleration torque rather than steady-state load torque. Therefore, torque analysis must be performed from a system-level perspective. The total required torque can be expressed as: TL = Tload + Tfric + Tacc . Where: TL = total system torque, Tload = working load torque (e.g., handling, cutting, conveying), Tfric = friction torque (bearings, seals, guide rails, etc.), Tacc = acceleration torque required to overcome system inertia.
The first two terms represent static torque components, while the acceleration torque reflects the dynamic characteristics of the system.
3.1 Acceleration Torque Calculation
In a rotating system, acceleration torque is determined by the equivalent rotational inertia and angular acceleration: Tacc = Jeq • α, and the angular acceleration can be approximated as: α = ωmax / tacc .
3.2 Moment of Inertia Calculation and Conversion
For common solid cylindrical shapes, the moment of inertia is: J = 1/2 mr 2 . Complex mechanical structures are typically evaluated using CAD software or calculated using the parallel axis theorem. When a linear motion load is converted into rotational motion through a pulley, roller, or belt mechanism, the equivalent rotational inertia is: J = mr 2 . If a gearbox (speed reducer) is used, the load inertia must be reflected to the motor shaft side. The reflected inertia is: Jmotor = Jload / i 2 .
4. Example of Torque Calculation in Motor Selection
To illustrate the system torque analysis method, a conveyor belt drive system is used as an example. Given Operating Conditions: load mass: m = 200 kg, pulley radius: r = 0.1 m, friction coefficient: μ = 0.05, maximum linear speed: vmax = 1 m/s, acceleration time: tacc = 0.5s, gear ratio: i = 10:1, transmission efficiency: η = 0.9.
Torque calculation process in motor selection:
Step 1: Load Resistance Force: F = mgμ = 200 × 9.8 × 0.05 = 98N
Step 2: Load-Side Torque: Tload,shaft = F • r = 98 • 0.1 = 9.8N•m
Step 3: Convert to Motor Shaft. Considering gearbox ratio and transmission efficiency:Tload = Tload,shaft / ( i • η ) = 9.8 / (10 × 0.9) ≈ 1.09N•m
Step 4: Angular Velocity and Acceleration
Load-side angular velocity:ωload = vmax / r = 1 / 0.1 = 10rad/s
Motor-side angular velocity:ωmotor = i • ωload = 100rad/s
Angular acceleration:α = ωmotor / tacc = 100 / 0.5 = 200rad/s2
Step 5: Equivalent inertia
Load-side inertia:Jload = mr 2 = 200 × 0.12 ≈ 2kg•m2
Reflected to motor shaft: Jmotor = Jload / i 2 - 2 / 102 = 0.02kg•m2
Step 6: Acceleration Torque:Tacc = Jmotor • α = 0.02 × 200 ≈ 4N•m
Step 7: Peak Torque Requirement:Tpeak = Tload + Tacc = 1.09 + 4 ≈ 5.09N•m
5. Torque Measurement and Verification Methods
5.1 Direct Measurement
Strain Gauge Torque Sensor: Based on shaft shear strain measurement, the torque is calculated as: T = ( G Jp ε ) / r , G = shear modulus, Jp = polar moment of inertia, ε = measured strain, r = measurement radius.
Magnetoelastic Torque Sensor: Utilizes the property that the magnetic permeability of ferromagnetic materials changes with stress, making it suitable for online torque measurement.
5.2 Indirect Calculation
When motor parameters and the control method are known, torque can be estimated from current measurements.
DC motor / PMSM:T = KT • I
Or estimated by current: T = 3/2 p ψf iq
Finally, motor torque calculation is a core aspect of electromechanical system design. In engineering, the motor type, load characteristics, transmission efficiency, inertia conversion, and duty cycle characteristics should be comprehensively considered. It is generally recommended to reserve a safety margin of 15% to 25% based on the calculation results. For frequent start-stop or variable load conditions, further dynamic simulation and thermal verification should be performed.
